什么是抖动?利用抖动消除ADC量化误差
2022-12-10 11:51:18 EETOP编译看完本文可以了解如何将抖动添加到信号以通过消除量化误差和失真来提高模数转换系统的性能。
有时,电子噪音可能是因祸得福。在本文中,我们将了解“抖动”,它指的是一种将适当的噪声成分添加到信号中以提高 A/D(模数)转换系统性能的技术。
什么是抖动?
大多数 EE 都熟悉限制电子电路中噪声水平的方法。过滤是一种常用技术,可用于消除噪声成分或至少限制其带宽。在某些应用中,例如降噪耳机 和降噪低噪声放大器 (LNA), 我们甚至可以测量主要噪声分量并将其从系统输出中减去以实现所需的性能。
尽管有这些应用,但在模数转换系统中我们需要噪声来提高电路性能。这种信号处理技术,称为抖动,故意将具有适当 PDF(概率密度函数)和 PSD(功率谱密度)的噪声信号添加到 ADC(模数转换器)输入(采样和量化之前),以改善某些系统的性能方面。图 1 显示了抖动系统的简化框图(该图表示一种称为非减色抖动的抖动)。
图 1. 显示抖动系统框图的示例图。图片由Analog Devices提供 第一次了解抖动时,可能会发现某种程度的噪声在某些情况下实际上是有帮助的,这违反直觉。抖动技术可用于三个不同的目的:
通过对缓慢变化的信号进行平均来提高测量分辨率
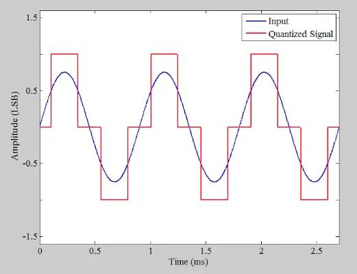
在本文中,我们将讨论抖动如何通过打破量化误差与输入信号之间的统计相关性来改进理想的量化器,但在此之前,我们需要了解一下 ADC 量化噪声。 ADC 量化误差的高级基础知识 ADC 是通过多个离散级别的连续范围的模拟值,这固有地增加了称为量化误差的误差。已进行大量研究以充分理解此误差。研究历史实际上可以追溯到 1948 年 WR Bennett 的一篇论文“量化信号的频谱”。今天,众所周知,在某些条件下,量化误差可以建模为一种附加噪声,在两者之间均匀分布 此外,假定量化噪声为白噪声(即,在直流到 fs/2 的奈奎斯特带宽上均匀分布),总功率等于 在本文中,我们将这种量化误差模型称为“量化噪声模型”。我们将很快讨论量化噪声模型并不总是有效;然而,对于许多实际应用来说,它仍然足够准确。下面的例子说明了为什么处理数据转换器的工程师喜欢这个模型! 10位与12位 ADC:多少位就足够了? 让我们考虑一个应用,其中 ADC 的参考电压为 2 V。假设 ADC 输入信号的噪声为 1 mV RMS(均方根)。对于 10 位 ADC,LSB 是 从量化噪声模型中,我们知道量化操作添加了 RMS 噪声 如你所见,量化噪声与来自输入的原始噪声相当。要找到系统的总噪声功率,我们应该将两个噪声源的功率相加: 对该值求平方根,得出总噪声的 RMS 为 0.59 LSB。如果我们的应用不能接受此噪声水平,我们可以提高 ADC 分辨率以降低量化噪声。例如,对于 12 位 ADC,输入噪声为 2.05 LSB RMS。与输入噪声相比,量化噪声 (0.29 LSB) 现在几乎可以忽略不计。对于这个例子,总噪声 RMS 达到 2.07 LSB。12 位系统似乎可以为该应用提供足够的分辨率。 有了信号中的总噪声,我们就可以确定交流应用中的信噪比 (SNR) 或测量应用中的最小可检测信号。这里的重点是噪声模型使我们能够轻松地考虑量化过程对系统噪声性能的影响。 作为旁注,值得一提的是,上述讨论隐含地假设 ADC 添加的主要噪声是量化噪声。但这并非总是如此,随着我们提高 ADC 分辨率,量化噪声变得越来越小。在某些时候,与 ADC 内由 ADC 内部电路的热噪声和闪烁噪声产生的电子噪声相比,量化噪声可以忽略不计。今天的高分辨率ΔΣ (delta-sigma) ADC就是这种情况。如果量化噪声可以忽略不计,则应考虑ADC 的峰峰值输入参考噪声来分析系统噪声性能。 量化误差的频率成分 量化噪声模型的一个含义是误差与输入不相关。为了更好地理解这一点,请考虑图 2 中的波形。 图 2.示例波形。图片由Franco Maloberti提供 上图中的左侧曲线描绘了 10 位量化正弦波的两个周期。右曲线显示量化误差。本例中,采样频率与输入频率之比为150。通过目测可以确认量化误差是周期性的(一个周期用橙色矩形表示)。此外,输入和量化误差信号之间存在相关性。由此,我们知道周期信号的频率成分集中在信号基频的倍数处。这意味着虽然量化噪声模型期望误差具有平坦的频谱,但量化误差具有一些强频率分量。 这是一个普遍问题:如果输入是正弦波并且采样频率是输入频率的倍数,则量化误差与输入信号相关。另一个示例如图 3 所示。 左侧曲线显示了输入为 2 MHz 正弦波且采样频率为 80 MSPS 时理想 12 位 ADC 的频谱。右侧曲线显示同一 ADC 的频谱,该 ADC 以相同采样频率采样 2.111 MHz 正弦波。正如所料,当采样频率与输入频率之比为整数时,输出端会产生输入频率的不同谐波。对于左侧曲线,系统的无寄生动态范围 (SFDR)仅为 77 dBc。通过稍微改变输入频率,谐波分量消失,我们得到一个草地般的本底噪声。 请注意,两种情况下量化误差的 RMS 值相同,导致 SNR 为 74 dBc(12 位 ADC 可获得的理论值)。对于这两种情况,RMS 误差都与量化噪声模型预测的值一致 上述谐波成分是量化过程的一个伪影,与ADC电路的性能无关。这突出了一个关于ADC测试的重要注意事项:如果输入信号是采样频率的精确子倍数,我们对单音正弦波快速傅里叶变换(FFT)测试得到的频谱将受到量化过程伪像的影响。 总而言之,如果量化误差与输入相关,我们不能假设 ADC 只会增加输入的本底噪声。在这种情况下,量化噪声模型不再有效,量化过程会在输出频谱中产生显着的谐波分量。通常,我们更希望误差能量散布在较宽的频带上,而不是集中在某些特定频率上。 量化低幅度信号 量化低幅度信号也会导致量化误差与输入之间的相关性。低幅度信号可能成为问题的一个示例应用是数字音频系统。假设 ADC 输入的幅度下降到 0.75 LSB,如图 4 所示。 图 4. 显示 ADC 输入下降幅度的示例图。 如图所见,量化信号仅采用三个不同的值,并且具有类似方波的形状。我们知道方波的频谱包含基频的不同谐波。在上面的例子中,输入是 1.11 kHz 的正弦波,采样频率是 400 kHz(特意选择远高于奈奎斯特采样定理所要求的频率)。输出的 FFT 如图 5 所示。 图 5. 显示 FFT 振幅与频率的关系图。 尽管输入频率 (1.11 kHz) 不是采样频率 (400 kHz) 的约数,但频谱包含大量谐波分量。这些谐波在图 6 提供的放大版频谱中更容易辨别。 图 6. 频谱的放大版本。 抖动的优点 为了检查抖动技术,我们将具有三角形分布的噪声添加到上述信号中,然后对其进行量化。三角抖动PDF(概率密度函数)的宽度取为 2 LSB。波形如图 7 所示。 图 7. 添加具有三角分布的噪声并进行量化后的示例波形。 在时域,好像信息丢失了,但是频域呢?新量化信号的频谱(上图红色曲线)如图 8 所示。 图 8. 新量化信号的频谱。 抖动消除了谐波分量。事实上,谐波分量的能量分布在很宽的频带上。因此,当我们应用抖动技术时,我们预计本底噪声会略有上升。除了这种影响之外,添加到输入端的抖动噪声也会导致本底噪声增加。 上面的例子清楚地显示了抖动在频谱分析应用中的优势。然而,有趣的是,即使不将信号转换到频域,我们也可以从抖动中获益。例如,在数字音频中,无特征背景噪声的增加(由于抖动)在感知上比量化器引入的人工谐波更容易接受。 从抖动噪声中获益 量化噪声模型的一个含义是量化误差与输入不相关。如果不是这种情况,则量化操作会引入一种失真,有时称为“量化失真”。通过添加抖动噪声,消除了量化误差与输入之间的相关性。这因此消除了由量化操作产生的谐波分量。这样,抖动可以提高理想量化器的性能。如上所述,抖动还用于其他几个目的。后续们将进一步深入讨论。 最后一点,值得一提的是,在大多数系统中,输入信号具有足够的噪声,因此不需要添加额外的抖动噪声来打破量化噪声与输入之间的相关性。此外,ADC 的输入参考噪声可能足以产生相同的抖动效果。 https://www.allaboutcircuits.com/technical-articles/what-is-dithering-using-noise-dithering-for-eliminating-the-quantization-distortion/
LSB2(LSB 表示转换器的最低有效位)。
。 平坦频谱特性基于量化误差样本彼此不相关的假设。
,因此,噪声的 RMS 值等于 0.51 LSB。



; 然而,误差的频谱在左图中并不平坦。



