有损传输线:趋肤效应简介
2023-07-21 12:00:21 EETOP本文为您介绍传输线中由于趋肤效应现象引起的高频导体损耗。
在许多应用中,将传输线建模为无损结构可以是线路真实世界行为的合理可接受的表示。这种无损模型使我们能够深入了解传输线的不同属性。然而,如果我们需要考虑信号衰减,我们必须考虑传输线的不同损耗机制。
在之前的一篇文章中,我们了解了传输线的等效电路(图 1)。
https://www.allaboutcircuits.com/technical-articles/investigating-lossless-transmission-line-phase-constant-and-infinite-bandwidth

在此模型中,R 和 G 分别表示导线每单位长度的电阻和分隔导体的电介质每单位长度的电导。为了能够评估传输线中的导体和介电损耗,第一步是计算出 R 和 G 的值以及它们如何随不同参数变化。本文的重点是评估导体电阻 R。
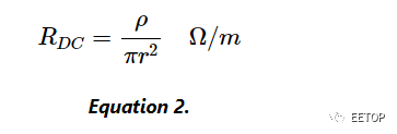
导体单位长度的直流电阻由以下熟悉的公式给出:

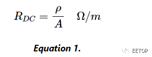
其中 ρ 是导体的电阻率,单位为 Ω-m(电阻率是电导率 σ 的倒数);A是导体的横截面积,单位为m 2。在印刷电路板中,铜的室温电阻率约为1.724×10 -8 欧姆-米(或6.787×10 -7 欧姆-英寸)。有了横截面积,我们就可以轻松计算出直流电阻。例如,半径为 r 的圆形横截面导体的直流电阻为:

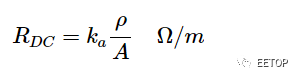
传输线中有两个导体:信号导体及其返回路径。为了考虑两者的电阻,我们可以将校正因子ka 纳入方程 1:

ka 的值 取决于传输线的结构。例如,如果返回路径与信号路径相同,则 ka 等于 2。但是,如果 PCB 走线的返回路径是宽平面,则可以使用校正因子 ka =1,因为宽平面的电阻在直流时非常低(高频时情况并非如此,因为高频时返回电流主要在信号路径下方流动)。
在直流时,导体横截面积上的电流分布是均匀的,并且导体的整个横截面积在承载电流方面同样有效。然而,随着频率的增加,电流倾向于流过导体表面下方的浅层。这种现象称为趋肤效应,会减少导体的有效横截面积,从而导致导体的交流电阻增加。大部分电流流过的层的深度由集肤深度 δ 估计,计算公式如下:

其中 µ 是导体的磁导率 (H/m),σ 是导体的电导率(S/m)。上式的重要结果是导体的有效截面积随着频率的平方根而减小。因此,导体的高频电阻与f成正比。图 2 概念性地显示了交流电流如何被限制在圆形和矩形导体的趋肤深度内。

更准确地说,集肤深度实际上指定了电流密度相对于导体表面的值减少 1/e 的距离。因此,电流密度在趋肤深度之后不会突然降至零(图 3)。

然而,为了推导出导体有效截面积的一些简单方程,我们通常假设整个电流均匀分布在导体表面以下的集肤深度中。在以后的文章中,我们将更详细地讨论这种近似的微妙之处。
公式 3 显示趋肤深度是频率以及两种材料特性(即电导率和磁导率)的函数。对于铜,将 σ=58×10 6 和 μ 0 = 4π×10 -7 H/m 代入公式 3 后,在 1 GHz 时趋肤深度约为 2μm(或 0.08 mils)。表 1 给出了铜在其他一些频率下的趋肤深度。

请注意,在低至 15 MHz 的频率下,电流穿透力等于 0.5oz的铜厚度(1oz相当于35微米也就是0.035mm)。当我们达到更高的频率时,趋肤深度变得越来越小。请记住,如果我们将方程 3 的不同参数代入 MKS 单位制中,趋肤深度 δ 将以米为单位。
由于其相对磁导率较高,铁磁金属(如镍和铁)的趋肤深度远小于具有类似电导率的非铁磁导体。镍和铁的相对磁导率分别为100和1000。图 4 比较了一些示例金属的趋肤深度与频率的关系。

集肤效应在多种情况下都会表现出来。例如,集肤效应使得水下潜艇的长距离通信变得非常困难。假设海水的典型参数为 ε r =72、σ=4 S/m 和 μ r =1,您可以验证海水在 5 MHz 时表现得像良导体。在此频率下,海水的趋肤深度为 11.2 厘米!通过这个较小的集肤深度,您可以计算出波幅在 51.8 cm 距离处减少到传输值的 1%。即使在非常低的频率下,发射的波也会显著衰减。
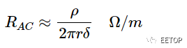
在高频下,电流主要局限于趋肤深度。因此,导体的有效截面积可近似为δ乘以导体周长。作为示例,考虑具有圆形横截面且半径为 r 的导体。导体的有效横截面积可近似为 2πrδ,产生的交流电阻为:

代入等式 3 中的 δ,我们有:

将直流电阻与导体的高频电阻等同起来,我们可以定义趋肤效应的起始频率。例如,等式 2 和 4 相等后,圆形导体的集肤效应的起始频率为:

因此,使用双对数图,圆形横截面导体的电阻与频率曲线如图 4 所示。

虽然我们获得了圆形导体的上述曲线,但在所有导体的电阻与频率曲线中观察到类似的行为。下面的图 5 将宽度为 0.25 毫米、厚度为 35 微米(1 盎司)的 PCB 铜迹线的电阻与直径 D=1 毫米的圆形铜线的电阻进行了比较。

对于 1 mm 的直径,公式 5 得出 fskin=70 kHz,这与橙色图一致。使用类似的过程,我们可以推导出矩形导体中集肤效应的起始频率方程。您可以在 Howard Johnson 的著作《高速信号传播:高级黑魔法》中找到详细信息。图 6 显示了直径为 1 英寸的 22 号铜线环的高频测量电阻。

在上图中,红色标记对应于测量的电阻值,而线条对应于分析预测的电阻,该电阻随频率的平方根而增加。可以看出,测量值大致随着 f 的增加而增加。
良导体的趋肤深度在微波频率下非常小。因此,对于微波元件,我们可以使用镀有良导体的不良导体,而不是使用良导体。两者的损耗性能应该是相似的。镀上千分之几英寸的高导电金属可以完全隐藏下面不良导体的影响。例如,可以使用镀银黄铜波导代替由实心银制成的波导,性能几乎没有下降,但材料成本却大大降低。您可能还会遇到由涂有银的空心金属管制成的天线结构和射频功率导体,出于同样的原因,管的“皮肤”具有出色的导电性。
在计算电镀部件的趋肤深度时,应注意电镀金属的电导率可能与该金属的固体形式不同。原因是电镀金属本质上是多孔的,并且密度低于其固体形式。此外,值得一提的是,即使是穿过电流方向的微小划痕也会影响微波元件的有效电阻。在以后的文章中,我们将继续讨论并仔细研究集肤效应现象背后的物理原理。
来源:EETOP编译自allaboutcircuits