SHARC Melody平台融合自动房间调谐器(ART)技术
2010-01-09 21:11:11 本站原创“据IDC预测,截止到2005年底,全球DVD刻录机、单机家庭影院(HTiB)系统及汽车DVD设备的总收入将突破110亿美元。”
资料来源:《全球不同尺寸DVD播放器收入》,2002-2007,IDC
“得益于DVD的一度流行,过去几年,消费者争先恐后地升级家庭影院系统、大屏幕电视及立体声设备以打造影院级观赏环境。”
《商务周刊》,2003年7月21日
“(单机家庭影院)厂商销售额在2002年攀升了12.8%,达到8.96亿美元,CEA预计增长势头将至少持续到2006年。”
《数字美国2003,美国消费电子产业》,美国消费电子协会
面向大众市场打造理想环绕声
数字音频时代的到来,令消费音频和家庭影院系统焕然一新。随着新形势的出现,如:DVD崛起、新的多声道音频格式诞生,及数字信号处理器(DSP)在音频系统内得到广泛应用,高端的环绕声音频也开始向普通消费者敞开怀抱。由于家庭音响系统的销售业绩有望持续迅猛增长,厂商们纷纷各显神通,努力打造差异化产品,尽快增添各种型号的新功能,巩固市场份额并降低系统及开发成本。
面对高涨的市场需求,ADI公司及时推出了最新的SHARC处理器系列,通过将其和SHARC® Melody®平台相结合,实现Auto Room Tuner™(ART™)技术,从而简化复杂音频系统的部署,同时大幅提升聆听体验。在一般应用场合中,ART软件常驻于SHARC Melody平台的环绕声接收器内。ART技术可根据系统安装房间的具体情况自动测量并校正多声道音响系统的声学特性,针对非理想的房间声学特性及扬声器响应进行补偿。
SHARC Melody平台的整套音频处理功能凝聚了ADI公司在专业音频领域的卓越研发成果,通过融合ART技术为厂商们奉献了一大新优势,即设计出价格贴近普通大众的产品。开发者现在可以从高性价比、人性化的技术中受益,为普通消费者打造出只有在音乐厅和电影院才能享受到的震撼环绕声体验。
环绕声音效日益普及
多年以来,逼真的环绕声音效一直是高保真音响爱好者的“专利”,其价格不菲的部件、专业技术人员的定制安装让一般人群望而却步。随着技术日新月异,成本和售价不断下降,厂商们终于有机会让更多的人享受到环绕声和多声道音频的魅力了。
家庭影院系统便是最受欢迎的成果之一,尤其是单机家庭影院(HTiB)套装,它将一整套音频组件(带必要接口)方便地捆绑在一起。HTiB系统包括一个AVR DVD播放器和六个扬声器,起价约300美元,所以环绕声在DVD消费人群中日益流行也就不足为奇了。
随着普通大众也有机会体验到各种动人的音效,音频开发者在发现各种新机遇的同时,也面临着诸多新挑战。比如,环绕音响系统的设置一直很复杂,甚至高端的音频系统也难以配置出最佳音效。扬声器常因为室内空间的限制而摆放在较差的位置。用户很少按照手册记载的一般流程来校准每个扬声器的延迟和增益。低音管理参数可能有误却未作修改;扬声器可能异相接线或干脆没有接好。尽管忠实的音频爱好者可能会聘请技术人员或很乐意亲自动手解决这些琐碎问题,但厂商们也意识到,除非环绕声安装变得更人性化,否则很难让一般用户满意。
硬件规格要求
硬件配置
目标处理器:SHARC ADSP-21xxx
外部存储器
- 闪存:1MB(1M*8位宽)
- SRAM:1MB(8位宽;256K x 32位)
振荡器
麦克风(OEM厂家提供)
主机接口
串行外设接口(SPI)
时钟/选通/MISO/MOSI
串行音频接口配置
自动设置的采样频率范围:44.1 kHz或48 kHz
房间均衡器的采样频率范围:32 kHz–192 kHz
(取决于输入信号的采样频率)
输入端口配置:最多10个通道
输出端口配置:最多10个通道
ART概念
ADI公司的ART技术实现自动均衡和校准操作,其高效性、经济性使音频系统厂商足以应对挑战并抓住机遇。ART概念充分利用了如今环绕声设备中普遍运用的DSP。这些DSP变得越来越便宜,而且功能日益强大,同时其最初设计执行的音频解码算法已形成标准化。因此,可以使用内置处理功能来提升音质。
在环绕声系统中将ART软件融入SHARC Melody平台内的一大特殊优点是,房间均衡功能可以和接收器的其他功能直接集成在一起——相比需要昂贵、操作复杂的外部组件来执行均衡操作的早期系统,可谓取得了显著进步。因此ART方案最大程度降低了增加音效优化元件的成本;只需增加ART软件和麦克风即可完成工作。另一个突出优点是,SHARC处理器提供32位浮点DSP性能以使系统成本具有竞争力,从而确保了整套片上音频处理功能的高性能和高性价比。
而且,基于SHARC Melody平台的ART技术顺应了HTiB套装采用重低音音箱和小型卫星音箱的趋势。低价卫星扬声器的音质可以通过相应的房间均衡功能获得大幅提升,从而有助于音频系统开发者以更低成本带来令消费者满意的聆听体验。
影响音质的因素
为什么实现最佳房间均衡效果如此困难呢?原因是实际聆听环境中有着各种各样的因素和变化会起作用。归根结底,声音播放的效果主要取决于喇叭的质量、聆听空间的声学特性以及扬声器相对于听众的摆放关系。
高品质的喇叭能够在较宽频率范围上再现声音,前端辐射功率很少随频率而变化。低品质的喇叭往往具有不均匀的频率响应,在提升了某些频率范围的同时,又衰减了其他频率范围。
喇叭的另一个重要属性是方向性,它随着频率而变化。喇叭的方向性取决于箱体的尺寸和形状以及所用换能器的属性。喇叭倾向于只在扬声器指示方向上辐射极高频声音,而在所有其他方向上一律辐射极低频声音。因此,在消声(无回声)条件下测量的喇叭频率响应随测量角度而有较大变化。
由于声音在房间各种表面上具有反射性,聆听空间的频率响应变得非常复杂。所产生的混响具有时间响应特性:先是少量显著的反射波,随后各个方向一阵密集的反射,后者通常称为延迟、漫反射混响。在对应于房间振动模式的低频处,房间的频率响应包含显著的波峰;在给定房间大小的情况下,可直接计算出波峰的频率。在更高频率处,模式密度变得很高,以致于频率响应呈现统计意义并具有波峰和波谷紧密间隔的特点。
频率响应的整体波形取决于房间材质的吸收特性;因为多孔材料在高频下更具吸收性,频率越高,房间响应的振幅越少。除在低频处或在早期外,通过统计方法描述房间响应的效果最好。随着测量点在房间内移动,响应的精确细节会发生较难察觉的变化,但响应的整体包络不会变化太多。
喇叭最好和聆听者成等距摆放,角度取决于播放格式。最理想的立体声系统摆放角度是和听众成+/- 30度。如在5.1声道环绕音响系统中,中央扬声器应放在听众正前方,而环绕扬声器应在两侧成110度放置。重低音音响的摆放不是很重要。在大多数聆听环境中,很难将扬声器摆在听众的理想位置,从而导致声像不平衡。如果听众距离其中的一个扬声器更近,那么更近的扬声器就会主导声像,因为它的声音更早到达,也更响。此外,环绕音响系统可能配备不同厂家的扬声器,声学特性可能不完全匹配。
作为一款设计出色的房间均衡系统,ART软件试图针对以下所有因素提供补偿:每个扬声器的频率响应和方向性、房间频率响应、扬声器相对于听众的位置关系及不当安装。
设计特点:人性化和功能一体化
基于SHARC Melody平台的ART技术专为消费市场而设计。这款软件已打造成了一个全自动系统,可以让缺乏经验的用户在自己的房间内简便迅速地取得满意的效果。有些消费者对技术并不陌生,但他们担心功能越多,使用就越复杂,他们没有足够的时间或资金来进行有效安装,因此不太愿意选择环绕声,而这一新技术的问世彻底打消了这些消费者的顾虑。
虽然专为平价应用而设计,但ART软件所达到的效果仍可与市面最好的高端房间均衡器相媲美。ART算法是一款基于一流信号处理和模式识别技术的高质量实现方案。大众市场既看重最新功能,又极为重视操作简便性,因此使用ART软件后,厂商不仅能给该市场带来卓越的环绕声系统,同时也为自己赢得了差异化优势。
ART技术的设计满足下列要求:
自动化、鲁棒、傻瓜操作
一次性快速测量;只需测量一点,即主聆听位置
无需预知扬声器、房间及其他参数的信息;所有音响系统的信息都是自动确定的
适用于平价SHARC Melody平台
全方位提升室内音质,覆盖较大的最佳听音范围,使多位听众都能体验出色音质
一流环绕声优化—全自动
利用ART技术测量并校正多声道音频系统的响应显示出不同寻常的人性化特点。用户首先安装接收器和扬声器,将麦克风放在主倾听位置。(接收器OEM厂家提供麦克风,它可能内置于遥控器内,避免在接收器上单接麦克风)然后用户通过接收器的遥控器开始校准和均衡程序。
ART软件在每个喇叭处发出噪声来测量音响系统。在校准过程中,用户可以听到一声粉红噪声测量信号,比白噪声更温和,而且比其他系统所使用的咔嗒声、唧唧声和咯咯声等更悦耳。每次发声持续1.5秒,随后是长达数秒的静音。位于听众位置的麦克风便会记录下这些噪声,然后位于接收器内的SHARC处理器会分析这些采集的信号。
ART算法协同SHARC处理器计算出大量与用户音响系统相关的信息,如每个扬声器的声压级(SPL)、每个扬声器到听众的距离以及每个扬声器的频率响应。这些信息主要用来在声音播放期间施加增益、延迟及音调校正,进而提升音质。ART软件还会自动配置低音管理参数。ART算法会校正整个音响系统在实际安装后出现的缺陷,如扬声器响应及方向性不均匀、房间反射及混响、扬声器及聆听位置不理想及安装不当。
除了一系列启动操作外,用户不必了解过程中的任何复杂程序,当然用户有兴趣知道的除外。只需在主聆听位置进行一次性快速测量即可完成一切工作。短短数分钟内,ART软件和SHARC处理器就可以对安装设备的实际声学特性完成测量、计算和补偿(手动操作的话就要耗费更长时间)。因此主聆听位置乃至房间各个角落的音质都有大幅提升。用户可以亲身体会这种变化:只要在播放时启用和禁用均衡功能,就能立即感受到音质优劣。
由于这种新技术快速简便、效果出众,因此深受用户青睐,有效帮助他们在改变房间布置(例如移动家具位置)或重新摆放环绕声设备后重新校准系统。
自动设置参数
完成上述每个音频声道的一次性测量后,ART自动设置功能自动检测下列参数:
扬声器是否存在。用户是否忘记连接某个扬声器?
极性反接。扬声器是否异相接线?
扬声器声压级(SPL),单位dBC。此信息也就是设为C加权的声级计所指示的信息,可供测量用于设置扬声器声级的感知响度。
到听众的距离(延迟时间:毫秒)。此参数用于设置对每个扬声器的补偿延迟。ART功能尚未问世时,一般做法是用卷尺测量距离。
识别扬声器类型。是否是重低音扬声器?是否是大型或小型卫星音箱?后者是低音管理配置必不可少的信息。扬声器再现80Hz以下频率时视为大型卫星音箱。
确定每个主扬声器和重低音音箱的滚降频率,单位Hz。这是正确进行低音管理所需的另一个参数。
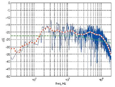
ART技术应用前后对比
理想的扬声器在无回声环境内频率响应呈现完美的“平坦”状。在理想的房间声学特性下,频率响应应保持平坦直到2kHz,然后在更高频率处以-1.5 dB/倍频呈滚降。虚线表示目标曲线,显示此理想的响应。ART可调整扬声器响应,以便在理想的聆听房间内更出色地匹配理想的扬声器响应。
同时还显示ART调整了扬声器的总增益。在校正前图中,增益过高(即扬声器过响)。在校正后图中,增益已降低到理想的目标水平。
校正前
虚线显示校正前的频谱;短划线显示目标频谱。
校正后

虚线显示校正后的频谱;短划线显示目标频谱。
自动均衡和补偿
ART算法和SHARC处理器会根据分析“自动设置”时产生的参数和数据计算系数,然后将系数用以执行自动均衡和补偿。相关调整项包括:
• 补偿每个扬声器的延迟,单位毫秒。不同扬声器的声音都会同时到达听众耳中。如果不对延迟进行补偿,听众往往会觉得声音来自距离最近的喇叭。
• 补偿每个扬声器的增益,单位dB。补偿每个扬声器的增益对于在喇叭之间还原正确的音量平衡至关重要。
• 补偿扬声器的均衡参数。这项调整项包括音调均衡,作用是补偿非理想的扬声器和房间响应。均衡操作由参数均衡器执行。每个频带参数如下:中心频率、增益及带宽(Q)。每个通道的频带数目由接收器OEM厂家设置。
• 图形显示均衡曲线供用户编辑。图形显示和编辑允许音频发烧友根据自身要求进行调节。这项功能得以实现是因为ART采用了参数均衡滤波器。此外,接收器厂家可视需要允许用户根据自定义系数进行手动均衡操作。
灵活定制,更快上市
ART技术的发展立足于满足大众市场消费音频的需求,因此ADI公司为这款软件配备了各种设计和开发功能。环绕声接收器设计者可以在享用定制功能的同时降低开发风险和成本并缩短上市时间,从而有效开发出不同功能、不同价位的各型号产品。
ART软件的灵活可定制特性包括:
• 支持任意扬声器配置。ART支持任意数目的声道(端口)。可自动检测声道以及每个声道和重低音音箱或喇叭的连接状态。此项功能不仅方便用户,而且有利于厂商更灵活地对系统进行封装,包含不同数目及类型的扬声器。
• 支持OEM厂家提供的麦克风。ART软件能够对非平坦频率响应曲线进行补偿(曲线越平坦,测量效果越好),从而允许利用廉价麦克风进行测量。系统设计者可以指定所选麦克风的频率响应。
• 用户界面可定制。一般情况下,接收器可通过视频画面演示所测量的声道以及该声道的相关信息。接收器OEM厂家可轻松修改ART界面,提高消费者易用性和产品差异化程度。
• 用户可定制目标均衡效果,每种均衡效果均具有独特音效,可针对具体细分市场预设。用户可以选择诸如“古典”或“摇滚”等设置。
新一代SHARC处理器在芯片组内集成了所有必需的音频功能(包括ART算法),将开发风险和成本降至最低并加快了产品的上市时间。SHARC处理器不仅拥有业界一流的浮点性能,而且性能是单MAC(乘法累加)定点器件的至少两倍以上。此外,SHARC处理器预先为最新的音频解码器和后处理器(如Dolby® ProLogic® IIx和Microsoft® Windows Media® 9 Audio Professional)提供支持,并具有足够的片上存储器来支持演播室级的音频处理。
而且,处理器的可编程功能让设计升级(添加功能、兼容新标准)更加灵活多变。使用SHARC处理器系列,开发者不必利用外设或软件插件便可实现功能。如今厂商纷纷为普通消费者提供日益丰富的音频体验,厂商必须获得理想的价格和快速的周转时间才能从中获利,因而SHARC处理器的集成方案不仅能够满足厂商的需求,更是他们所不可或缺的。
所有SHARC处理器均由ADI公司VisualDSP++™集成式开发环境提供完全支持,该开发环境包含一整套软件工具,提供一个高度优化的C++编译器和一个图形开发环境。
ART和SHARC Melody平台—紧跟消费音频市场的步伐
ART技术基于ADI公司强劲的SHARC Melody平台,帮助广大音频系统开发者打造丰富的多声道音频,获得家庭音频接收器消费者的青睐,进而从不断涌现的市场机遇中获益。ART软件和SHARC Melody平台不仅价位适中,贴近大众市场,而且能够简化家庭影院系统的设置并针对非理想的声学环境和扬声器响应进行补偿,将原本复杂棘手的过程转变为效果显著的人性化聆听体验。
由于ART技术是SHARC Melody平台所提供的综合性音频处理和系统开发环境的组成部分,开发者可加快面向主流消费人群的产品发布速度,使高品质音频不再为发烧友和专业人士所独享。