电子工程师需要了解哪些噪声?
2019-11-27 13:36:51 EETOP噪声是一种有害的干扰,会降低所需信号的准确性。要分析噪声对系统的影响,我们需要对其行为有基本的了解。
在本文中,我们将尝试深入了解电子工程中通常必须处理的噪声源的一些最重要特征。
噪声是随机信号。这意味着无法基于其先前值预测其瞬时振幅。图1显示了一个示例。

图1
如果未知噪声的瞬时振幅,我们如何确定其对系统输出的影响?尽管瞬时幅度是不可预测的,但是噪声波形还有其他属性可以预测。至少对于我们在电路设计和分析中通常必须处理的噪声源而言,这至少是正确的。
让我们看看哪些属性是可预测的,以及如何分析它们可以为我们提供帮助。
表征噪声源的第一步可以是估计给定值可能多久出现一次。为此,我们从噪声波形中提取了大量样本,并创建了振幅直方图。
例如,假设我们从噪声波形中提取了100,000个样本。根据这些样本的值,我们可以考虑噪声幅度的可能范围。然后,我们将可能值的整个范围划分为多个连续的不重叠幅度区间,称为区间(bin)。直方图的区间(间隔)通常大小相等。区间的高度由在区间隔内的噪声幅度值的出现次数确定。
图2显示了100,000个随机变量样本的直方图。在此示例中,直方图具有100个区间,最大和最小样本值分别为4.34和-4.43。

上面的直方图显示了噪声幅度在给定时间间隔内采用某个值的频率。例如,直方图显示零附近的值更有可能出现。
上面的直方图中的信息表示具有特定幅度值的可能性;但是,它是基于一个特定的实验,该实验采集了100,000个样本。我们通常需要与样本数量无关的似然曲线。因此,我们必须以某种方式规范化图2的信息。
显然,应将所有区间高除以相同的值,以使所获得的曲线仍可以正确显示不同幅度区间的相对可能性。但是合适的归一化因子是多少?我们可以将区间高度除以样本总数(100,000),以得出区间间隔的相对出现次数,而不是其绝对值。但是,在曲线表示概率之前仍需要进行其他修改。
如前所述,间隔的高度表示在该间隔的连续范围内的噪声幅度值的总数。在给定的区间间隔内,所有这些值均使用表示间隔可能性的单个数字表示。虽然图2中的直方图的值表示间隔似然,但是在概率论中,我们使用密度内涵来指定连续变量的似然。因此,为了使曲线正确显示概率密度,我们应将箱高除以箱宽。此归一化曲线是可变概率密度函数(PDF)的粗略估计,这是底层随机过程的非常重要的特征。
我们可以用略有不同的方法得出相同的结果:根据我们的测量,噪声幅度在-4.43和4.34之间。实际上,噪声幅度可以取一个超出此范围的值。但是,我们使用测得的数据来估算振幅分布。对于我们正在开发的粗略模型,绝对可以确定发生值在-4.43和4.34之间的事件(概率为1)。
通过计算归一化曲线下的总面积(即估计的PDF)可以找到该概率。为了使归一化的曲线的总面积为1,我们应将区间高度归一化等于总直方图面积的因子。直方图面积等于面元宽度乘以样本总数。因此,归一化因子等于bin宽度乘以样本总数。应用此归一化因子可得出如图3所示的估计PDF。

平稳性假设
以上讨论是基于基本假设的。假定对随机过程的长时间观察可用于估计其分布函数。换句话说,随机信号所来自的分布函数不会随时间变化。实际上,通常情况并非如此,但对于我们感兴趣的噪声源是有效的。如果随机过程的统计属性不随时间变化,则将其称为平稳过程。
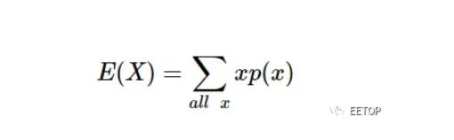
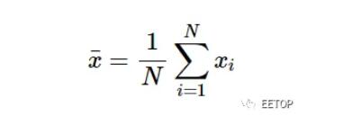
随机变量的PDF允许我们估计其样本均值。让我们考虑一个简单的例子。假设假设的随机信号X具有三个可能的值:1,-2和3,概率分别为0.3、0.6和0.1。我们如何找到该信号的平均值?一种方法是通过从信号中获取大量样本来估计平均值。在这种情况下,我们可以通过计算数据观测值的算术平均值来计算样本均值:
其中N表示样本总数,x i表示第i个样本。请注意,我们得到的仍然是随机变量平均值的估计值,因为信号是随机的,我们无法预测将来的值。估计平均值的更好方法是基于使用不同结果的概率。
根据此示例给出的概率值,我们可以得出结论,如果长时间观察此随机信号,则在我们观察持续时间的30%左右,其值为1。信号将分别在我们的观察持续时间的60%和10%左右具有值-2和3。因此,我们可以将不同结果的概率用作该结果的权重。我们获得:

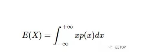
其中,E(X)表示对随机变量X的期望。可以将对随机变量的期望视为对随机变量样本平均值的估计。离散随机变量X的期望为:

其中X表示随机变量,x表示X可以取值。p(x)表示X取值x的概率。对于连续随机变量,我们具有以下方程式:
如您所见,PDF允许我们预测噪声波形的平均值。随机变量的期望值有时用μ表示。我们可以插入图3中的确切值,以找到本示例的期望值。但是,目视检查发现对称性在零附近,我们可以预测此随机变量的平均值为零。
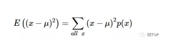
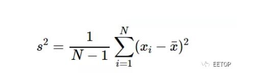
同样,我们可以使用随机变量的PDF来估计其方差。如果我们从随机变量中获得了N个样本,则可以使用以下方程式找到样本方差:
请注意,分母被选择为N-1而不是更明显的N选择。 有关N-1而不是N-1的使用的说明,请参阅Anthony Hayter的《工程师和科学家的概率和统计》第7.2.1节。N.
使用给定结果的概率作为该结果与平均值之间距离的权重,可以得出:

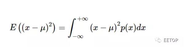
对于连续随机变量,我们具有以下方程式:

因此,PDF允许我们预测噪声波形的平均值和方差。
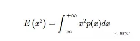
对于μ= 0,连续随机变量的方差简化为:

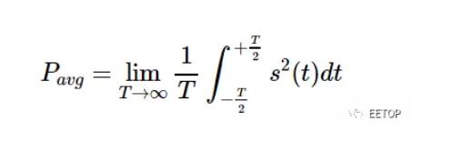
这是对噪声样本平方值的期望。该值在概念上类似于确定的电压确定信号s(t)的平均功率

其中平均功率以V2而不是W的想法是,如果我们知道Pavg,我们可以通过Pavg除以RL,很容易地计算给定负载RL的实际功率。对于随机变量,我们不知道瞬时样本值。然而,我们可以使用期望概念来预测x2的平均值。因此,对于μ= 0,噪声波形的方差估计的噪声平均功率。
如您所见,PDF使我们能够提取一些宝贵的信息,例如噪声分量的平均值和平均功率。
尽管我们现在已经能够估计噪声的平均功率,但是仍然存在一个主要问题:噪声功率在频域中如何分配?本系列的下一篇文章将探讨这个问题。
噪声是一种有害的干扰,会降低所需信号的准确性。要分析噪声对系统的影响,我们需要对其行为有基本的了解。噪声的瞬时幅度无法预测;但是,我们仍然可以针对我们感兴趣的噪声源开发统计模型。例如,我们可以估计噪声的平均值和平均功率。该信息以及噪声功率谱密度(PSD)通常足以分析噪声对电路性能的影响。
原文:
https://www.allaboutcircuits.com/technical-articles/what-an-electronics-engineer-needs-to-know-about-noise/
关键词: 信号分析