非常见问题:RMS功率与平均功率
2020-08-20 13:29:09 ADI问题:
我是否应该使用均方根(rms)功率单位来详细说明或描述与我的信号、系统或器件相关的交流功率?

答案:
这取决于您如何定义rms功率。
如果您不想计算交流功率波形的rms值,那么得出的结果可能没有实际意义。
如果您需要使用电压和/或电流的rms值来计算平均功率,那么就会得出有意义的结果。
讨论
在1 Ω电阻上施加1 V rms正弦电压时,会消耗多少功率?
![]()
这个问题的答案很明确1,大家对此没有任何异议。
N现在,我们将这个值与rms功率计算值比较看看。
图1所示为1 V rms正弦曲线图。峰峰值为1 V rms × 2 √2 = 2.828 V,摆幅为+1.414 V至–1.414 V。2

图1.1 V rms正弦曲线图
图2所示为1 V rms正弦电压施加于1 Ω电阻(P = V2/R)时的消耗功率曲线图,其中显示:

图2.1 V rms正弦电压施加于1 Ω电阻时的消耗功率曲线图
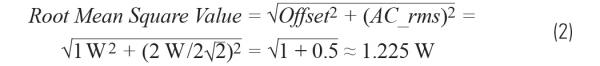
该瞬时功率曲线的偏移为1 W,摆幅为0 W至2 W。
此功率波形的rms值为1.225 W。
计算此值的一种方法是使用公式23:

可以在MATLAB® 或Excel中使用更详细的公式4来验算这个值。
此功率波形的平均值为1 W。这可以通过查看波形看到;波形在1 V上下对称波动。计算波形数据点的平均数可以得出相同的值。
平均功率数值与使用rms电压计算得出的功率值相同。
1 V rms正弦电压施加于1 Ω电阻时,功耗为1 W,而不是1.225 W。所以,能够得出正确值的是平均功率,平均功率具有实际意义。Rms功率(如此处所定义)没有明显的实用意义(没有明显的物理/电气意义),只是实践练习中可以计算的一个量。
例如,采用1 A rms正弦电流通过1 Ω电阻,执行相同的分析。得出的结果相同。
集成电路(IC)的电源一般为直流电源,所以rms功率对IC电源没有影响。对于直流而言,平均功率和rms功率的值相同。与本文中定义的rms功率不同,使用平均功率的重要性也适用于需要考虑随时间变化的电压和电流(即噪声、RF信号和振荡器)相关功率的情形。
使用rms电压和/或rms电流来计算平均功率,可以得出有意义的功率值。
1 电压施加于电阻两端产生功耗具有一种基本关系,可以从欧姆定律(V = Ir)以及电压(电能/电荷单位)和电流(电荷单位/时间)的基本定义轻松得出。电压 × 电流 = 电能/时间 = 功率
2 正弦电压的峰峰幅度 = rms值 × 2√2。对于正弦电压,V p-p = V rms × 2√2,其中V p-p表示峰峰电压,V rms表示rms电压。这是大家熟知的关系式,许多教科书中都有提供,在维基可以找到。
3 正弦电压的峰峰幅度 = rms值 × 2√2。对于正弦电压,V p-p = V rms × 2√2,其中V p-p表示峰峰电压,V rms表示rms电压。这是大家熟知的关系式,许多教科书中都有提供。
4 标准教科书中提供的是以下这种更详细的公式。
![]()